Assignment 1

Problems by Branko Curgus

In[121]:=

201720_A1_1.gif

Prolog to Problem 1. Two cylinders

This is a tribute to a problem that I was assigned as an undergraduate student in the mid-1970s at the Department of Mathematics of the University of Sarajevo.

The problem involves the intersection of two circular cylinders. The smaller cylinder is vertical with the equation: 201720_A1_2.gif (this is the circle centered at (1,0) with the radius 1) and z is arbitrary.  The larger cylinder is horizontal with the equation: 201720_A1_3.gif and y is arbitrary.  I do not recall exactly what I was asked to do with these two cylinders.  However, I remember well that I spent a lot of time trying to visualize the intersection. At that time I did not have access to any technology to help with visualization.  

Since I do not recall what was the exact question related to these two cylinders I will calculate all quantities that come to mind related to this object.

Visualization

This is a convenient view point in the graph below which I determined through experimentation.

In[1]:=

201720_A1_4.gif

Out[1]=

201720_A1_5.gif

In[2]:=

201720_A1_6.gif

Out[8]=

201720_A1_7.gif

In[9]:=

201720_A1_8.gif

In[14]:=

201720_A1_9.gif

Out[14]=

201720_A1_10.gif

In[15]:=

201720_A1_11.gif

Out[15]=

201720_A1_12.gif

In[16]:=

201720_A1_13.gif

Out[20]=

201720_A1_14.gif

Unwrapping

Each cylinder can be unwrapped to a plane. Hence the blue curve above and two surfaces bounded by the blue curve can be unwrapped into planes.

How to find the equation for the blue curve when unwrapped to a plane? The following picture can help.

In[21]:=

201720_A1_15.gif

Out[21]=

201720_A1_16.gif

Large cylinder

Let us consider first unwrapping the blue curve into the plane by unwrapping the larger cylinder.  As the larger cylinder is unwrapped to a plane, the vertical red half-circle is unwrapped to a vertical line segment of length 2π.  The parametric equation of the top part of the blue curve is

201720_A1_17.gif

The equation of the red horizontal circle is

201720_A1_18.gif

and the blue curve is above the red horizontal circle and on the large cylinder whose top part is given by 201720_A1_19.gif.  

Now we will determine the equation of the top part of the blue curve in relation to the arc length on the vertical red circle.  Let P be the point on the vertical red circle such that s is the arc length between the point (2,0,0).  The coordinates of P are (2 Cos[s/2], 0, 2 Sin[s/2]). Which point on the blue curve has the same z-coordinate?  Call that point B. The point B has the same x-coordinate as P.  Thus,  

201720_A1_20.gif

Solving for t  we get

In[22]:=

201720_A1_21.gif

201720_A1_22.gif

Out[22]=

201720_A1_23.gif

Substituting

201720_A1_24.gif

in

201720_A1_25.gif

In[23]:=

201720_A1_26.gif

Out[23]=

201720_A1_27.gif

This expression can be further simplified to

In[24]:=

201720_A1_28.gif

Out[24]=

201720_A1_29.gif

Thus, the blue point B is at the distance  201720_A1_30.gif from the point P.  Thus, when flattened the equation of the blue curve is as follows:

In[25]:=

201720_A1_31.gif

Out[25]=

201720_A1_32.gif

It is interesting to point out that the equivalent expression for the blue curve above is as follows

In[26]:=

201720_A1_33.gif

Out[26]=

201720_A1_34.gif

Small cylinder

Now we will unwrap the blue curve by unwrapping the smaller cylinder.  As a parameter we will take the arc length s along the horizontal red circle starting from (2,0,0). As before, call P the point on this circle such that the arc length between P and (2,0,0) is s. From the geometry of the unit circle it follows the polar angle θ for this point is θ = s/2.  Therefore this point is given as

201720_A1_35.gif

The parametric equation for the top part of the blue curve is    

201720_A1_36.gif

Thus the point on the blue curve vertically above the point P is   

201720_A1_37.gif

In[27]:=

201720_A1_38.gif

Out[27]=

201720_A1_39.gif

Or, cutting the surface at the point (2,0,0).

In[28]:=

201720_A1_40.gif

Out[28]=

201720_A1_41.gif

Calculations

The surface area of the eight-shaped region

This is the surface area on the larger cylinder. It is the transparent surface in the picture. The area is

In[29]:=

201720_A1_42.gif

Out[29]=

201720_A1_43.gif

In[30]:=

201720_A1_44.gif

Out[30]=

201720_A1_45.gif

A different way to calculate this surface is to use the surface integral.

In[31]:=

201720_A1_46.gif

Out[31]=

201720_A1_47.gif

In[32]:=

201720_A1_48.gif

Out[32]=

201720_A1_49.gif

In[33]:=

201720_A1_50.gif

Out[33]=

201720_A1_51.gif

In[34]:=

201720_A1_52.gif

Out[34]=

201720_A1_53.gif

In[35]:=

201720_A1_54.gif

Out[35]=

201720_A1_55.gif

In[36]:=

201720_A1_56.gif

Out[36]=

201720_A1_57.gif

Exactly the same value.

The vertical surface area

We found the equation so we just integrate.

In[37]:=

201720_A1_58.gif

Out[37]=

201720_A1_59.gif

In[38]:=

201720_A1_60.gif

Out[38]=

201720_A1_61.gif

This expression can be simplified by hand to

In[39]:=

201720_A1_62.gif

Out[39]=

201720_A1_63.gif

In[40]:=

201720_A1_64.gif

Out[40]=

201720_A1_65.gif

It is interesting to point out that the above formula for the blue curve has equivalent form as follows:

In[41]:=

201720_A1_66.gif

Out[41]=

201720_A1_67.gif

In[42]:=

201720_A1_68.gif

Out[42]=

201720_A1_69.gif

In[43]:=

201720_A1_70.gif

Out[43]=

201720_A1_71.gif

A different way to calculate this surface is to use the surface integral.  I was not able to get the exact value in this way, just an approximation.

To get equation for the surface

In[44]:=

201720_A1_72.gif

Out[44]=

201720_A1_73.gif

In[45]:=

201720_A1_74.gif

Out[45]=

201720_A1_75.gif

In[46]:=

201720_A1_76.gif

Out[46]=

201720_A1_77.gif

We need to integrate this quantity over the half circle in xz-plane

In[47]:=

201720_A1_78.gif

But this integral is not evaluating.

Try for the indefinite integral, that is anti-derivative:

In[48]:=

201720_A1_79.gif

Out[48]=

201720_A1_80.gif

Now use the Fundamental Theorem of Calculus

In[49]:=

201720_A1_81.gif

Out[49]=

201720_A1_82.gif

And integrate numerically:

In[50]:=

201720_A1_83.gif

Out[50]=

201720_A1_84.gif

The volume

To calculate the volume we integrate the big cylinder over the small disk:

In[51]:=

201720_A1_85.gif

Out[51]=

201720_A1_86.gif

In[52]:=

201720_A1_87.gif

Out[52]=

201720_A1_88.gif

Or the small cylinder over the big half-circle. I was not able to get the exact value in this way.

In[53]:=

201720_A1_89.gif

In[54]:=

201720_A1_90.gif

Out[54]=

201720_A1_91.gif

In[55]:=

201720_A1_92.gif

Out[55]=

201720_A1_93.gif

The length of the blue curve:

We first use the first parametrization in the plane obtained above:

In[56]:=

201720_A1_94.gif

Out[56]=

201720_A1_95.gif

In[57]:=

201720_A1_96.gif

Out[57]=

201720_A1_97.gif

The second parametrization in the plane

In[58]:=

201720_A1_98.gif

Out[58]=

201720_A1_99.gif

In[59]:=

201720_A1_100.gif

Out[59]=

201720_A1_101.gif

Finally we use the parametrization of the blue curve in space:

In[60]:=

201720_A1_102.gif

Out[60]=

201720_A1_103.gif

In[61]:=

201720_A1_104.gif

Out[61]=

201720_A1_105.gif

In[62]:=

201720_A1_106.gif

Out[62]=

201720_A1_107.gif

In[63]:=

201720_A1_108.gif

Out[63]=

201720_A1_109.gif

One more parametrization in space

In[64]:=

201720_A1_110.gif

Out[64]=

201720_A1_111.gif

In[65]:=

201720_A1_112.gif

Out[65]=

201720_A1_113.gif

In[66]:=

201720_A1_114.gif

Out[66]=

201720_A1_115.gif

Problem 1: Your task

Repeat as much as you can of what I did in Prolog to Problem 1 when the large Cylinder is replaced by the sphere of radius 2 centered at the origin

In[67]:=

201720_A1_116.gif

Out[67]=

201720_A1_117.gif

In[68]:=

201720_A1_118.gif

Out[70]=

201720_A1_119.gif

Prolog to Problem 2. Two famous multiple integrals

A famous double integral

Consider the integral  201720_A1_120.gif.

Mathematica does calculate this integral.

In[71]:=

201720_A1_121.gif

Out[71]=

201720_A1_122.gif

However, calculating this integral by hand using the Fundamental theorem of calculus is not easy. Here is why

In[72]:=

201720_A1_123.gif

Out[72]=

201720_A1_124.gif

This is doable by hand. Now we apply the FTC and get

In[73]:=

201720_A1_125.gif

Out[73]=

201720_A1_126.gif

Next we integrate

In[74]:=

201720_A1_127.gif

Out[74]=

201720_A1_128.gif

But this integral is a special function that is not familiar to an undergraduate student. In fact this is not often studied function.  

Applying FTC again we get.

In[75]:=

201720_A1_129.gif

Out[75]=

201720_A1_130.gif

Our goal is to understand this result using change of variables in double integral.

We use the following change of variables:

201720_A1_131.gif

Good way to think about this change of variables is as a mapping from uv-plane into xy-plane.

201720_A1_132.gif

One way to visualize this mapping is to plot the grid of coordinate lines in uv-plane and map them into  curves in xy-plane. For example the line u=1/2 is being mapped into the curve {201720_A1_133.gif}

In[76]:=

201720_A1_134.gif

Out[76]=

201720_A1_135.gif

In[77]:=

201720_A1_136.gif

Out[77]=

201720_A1_137.gif

Since we see some overlap it is clear that we will have to narrow down the area in uv-plane.

In[78]:=

201720_A1_138.gif

Out[78]=

201720_A1_139.gif

In[79]:=

201720_A1_140.gif

Out[79]=

201720_A1_141.gif

In[80]:=

201720_A1_142.gif

Out[80]=

201720_A1_143.gif

Just for fun

In[81]:=

201720_A1_144.gif

Out[81]=

201720_A1_145.gif

In[82]:=

201720_A1_146.gif

Out[82]=

201720_A1_147.gif

Let us go back to the change of variables:

201720_A1_148.gif

This is how Mathematica calculates the Jacobian matrix:  

In[83]:=

201720_A1_149.gif

Out[83]=

201720_A1_150.gif

We need the determinant of the Jacobian matrix

In[84]:=

201720_A1_151.gif

Out[84]=

201720_A1_152.gif

We notice that this quantity is negative for u, v being in [-1,1]. So the absolute value is

In[85]:=

201720_A1_153.gif

Out[85]=

201720_A1_154.gif

We need to understand which set in uv-plane is being mapped onto the unit square with vertices (0,0), (1,0), (1,1), (1,0) in xy-plane.

Next we list points in uv-plane and their images in xy-plane

(0,0)  goes to (0,0)
(1,1)  goes to (1,0)
(1,-1)  goes to (0,1)
(1,0)  goes to (1,1)

This indicates that the triangle with vertices (0,0), (1,-1), (1,1) is being mapped onto the unit square. The following graphics confirms that.

In[86]:=

201720_A1_155.gif

Out[86]=

201720_A1_156.gif

Now we substitute the new variables into the integrand

In[87]:=

201720_A1_157.gif

Out[87]=

201720_A1_158.gif

We notice that this quantity is positive. This expression needs to be multiplied by the absolute value of the determinant of the Jacobian matrix. Thus, the new integrand is

In[88]:=

201720_A1_159.gif

Out[88]=

201720_A1_160.gif

So, we need to calculate the integral

201720_A1_161.gif

This integral is easily calculable by hand.  However, for efficiency I do it in Mathematica here.

In[89]:=

201720_A1_162.gif

Out[89]=

201720_A1_163.gif

Now we integrate with respect to u. This is also a simple change of variables integral.

In[90]:=

201720_A1_164.gif

Out[90]=

201720_A1_165.gif

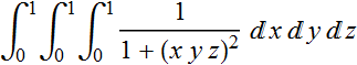
A famous triple integral

We consider the integral  201720_A1_166.gif.

Mathematica does calculate this integral.

In[91]:=

201720_A1_167.gif

Out[91]=

201720_A1_168.gif

Our goal is to understand this result using change of variables in double integral.

The change of variables here is

201720_A1_169.gif

Good way to think about this change of variables is as a mapping from uvw-space into xyz-space.

201720_A1_170.gif

This is how Mathematica calculates the Jacobian matrix:  

In[92]:=

201720_A1_171.gif

Out[92]=

201720_A1_172.gif

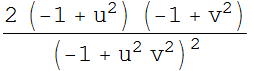
We need the determinant of the Jacobian matrix

In[93]:=

201720_A1_173.gif

Out[93]=

201720_A1_174.gif

This function is always positive. So, no problems here.

We need to understand which set in uv-plane is being mapped onto the unit cube with the vertices (0,0,0), (1,0,0), (1,1,0), (1,0,0), (0,0,1), (1,0,1), (1,1,1), (1,0,1) in xyz-space.

Next we list points in uvw-space and their images in xyz-space

(0,0,0)    goes to  (0,0,0)
(201720_A1_175.gif,0,0)   goes to  (1,0,0)
(0,201720_A1_176.gif,0)   goes to  (0,1,0)
(0,0,201720_A1_177.gif)   goes to  (0,0,1)
(201720_A1_178.gif,201720_A1_179.gif,201720_A1_180.gif)  goes to  (1,1,1)

This indicates that the polytope with vertices (0,0,0), (201720_A1_181.gif,0,0), (0,201720_A1_182.gif,0), (0,0,201720_A1_183.gif,0), (201720_A1_184.gif,201720_A1_185.gif,201720_A1_186.gif) is being mapped onto the unit cube. Our next goal is to confirm that. Here is the image of the polytope:

In[94]:=

201720_A1_187.gif

Out[94]=

201720_A1_188.gif

This polytope can be described mathematically as

201720_A1_189.gif

Mathematica can plot this polytope using these inequalities:

In[95]:=

201720_A1_190.gif

Out[95]=

201720_A1_191.gif

Next we will use Manipulate to slice this polytope into triangles which we will map into the unit cube.

In[96]:=

201720_A1_192.gif

Out[96]=

201720_A1_193.gif

In the above Manipulation I used Polygon command to draw the slicing triangles. For that I needed only the vertices of the triangles. However, to map the triangles into xyz-space I need to represent the triangles using two parameters s and t. How to do that?    

If we have two points say A and B, then all the point on the line segment  AB are given by  (1-s) A + s B where 0 ≤ s ≤1 .

We use the same idea for three points, say A, B, C. First we represent all the points on the line segments AB and AC

  (1-s) A + s B,   0 s 1  and    (1-s) A + s C,   0 ≤ s ≤1 .

Now for a fixed s I use parameter t to represent all the point on the line segment connecting the point

  (1-s) A + s B   and    (1-s) A + s C :

   (1-t)((1-s) A + s B)  +  t ((1-s) A + s C)   where   0 ≤ s, t ≤1 .  

Simplifying the last expression we get the following formula for the surface of the triangle with vertices A, B, C

In[97]:=

201720_A1_194.gif

Out[97]=

201720_A1_195.gif

Thus the formula

(1-s)A +s (1-t) B + s t C    where   0 ≤ s, t ≤1

represents the surface of the triangle with vertices A, B, C. I will illustrate this with a graphics:

In[98]:=

201720_A1_196.gif

Out[98]=

201720_A1_197.gif

Next I use the mapping

201720_A1_198.gif

In[99]:=

201720_A1_199.gif

Out[99]=

201720_A1_200.gif

In[100]:=

201720_A1_201.gif

Out[100]=

201720_A1_202.gif

Now we substitute the new variables into the integrand

In[101]:=

201720_A1_203.gif

Out[101]=

201720_A1_204.gif

This expression needs to be multiplied by the absolute value of the determinant of the Jacobian matrix. Thus, the new integrand is

In[102]:=

201720_A1_205.gif

Out[102]=

201720_A1_206.gif

Thus, the integral is simply the volume of the polytope that found.

To calculate the volume of the polytope we split it into two pyramids.

One pyramid has vertices (0,0,0), 201720_A1_207.gif, 201720_A1_208.gif, 201720_A1_209.gif. The base of this pyramid is equilateral triangle with the vertices 201720_A1_210.gif, 201720_A1_211.gif, 201720_A1_212.gif and the height of this pyramid is the line segment with the endpoints (0,0,0), 201720_A1_213.gif. Thus the volume of this pyramid is   

201720_A1_214.gif

One pyramid has vertices (0,0,0), 201720_A1_215.gif, 201720_A1_216.gif, 201720_A1_217.gif,  201720_A1_218.gif. The base of this pyramid is equilateral triangle with the vertices 201720_A1_219.gif, 201720_A1_220.gif, 201720_A1_221.gif and the height of this pyramid is the line segment with the endpoints 201720_A1_222.gif, 201720_A1_223.gif. Thus the volume of this pyramid is   

201720_A1_224.gif

Thus the volume of the polytope is

201720_A1_225.gif

Problem 2. Your task

Calculate the famous double integral by using a change of variables similar to what was used to calculate the famous triple integral. Provide all the illustrations as I did in my calculation of the famous double integral.

Problem 3. Cissoid of Diocles

Prolog to Cissoid of Diocles problem

This problem is about the curve called Cissoid of Diocles. In fact this is a family of curves. Below is the construction of the Cissoid of Diocles based on circle with radius one.

In[103]:=

201720_A1_226.gif

Out[103]=

201720_A1_227.gif

Your task

Learn about the Cissoid of Diocles family of curves. The corresponding Wikipedia page is very informative. Based on that information answer the following two questions:  

Length

Calculate the length of the part of the Cissoid of Diocles which is inside the circle which is used in the definition of that Cissoid. That is the maroon length in the picture below.

In[104]:=

201720_A1_228.gif

Out[104]=

201720_A1_229.gif

In your response to this question you should present and illustrate all the relevant information that you found on the Internet. You should present at least two distinct calculations for the length. The exact value for the length  is expected.  

Area

Calculate the area which is below the Cissoid of Diocles and which is inside the circle which is used in the definition of that Cissoid. That is the red area in the picture below.

In[105]:=

201720_A1_230.gif

Out[105]=

201720_A1_231.gif

In your response to this question you should present and illustrate all the relevant information that you found on the Internet. You should present at least two distinct calculations for the area. The exact value for the area  is expected .  

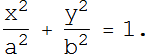
Problem 4. Explore Ellipses

Let a and b be positive real numbers. Consider the ellipse

201720_A1_232.gif

The parametric equation for this ellipse is

201720_A1_233.gif

In this problem we consider only the ellipses in this canonical form.

Area

Calculate

Present at least three different ways to evaluate the area enclosed by this ellipse.

Together

The most famous circle is the unit circle. The area enclosed by the unit circle is π. Determine the family of all ellipses each one of which encloses the area π.  Replicate the picture below which shows 40 such ellipses.

201720_A1_234.gif

Length

Calculate

Determine the exact formula for the circumference of the ellipse introduced in the introduction to this problem. Determine at least three different, but equivalent, ways of writing this formula. Give explanations of the functions that you are using.  

Together

The most famous circle is the unit circle. The the circumference of the unit circle is 2π.  Determine the family of all ellipses each one of which has the circumference 2π. Replicate the picture below which shows 40 such ellipses.

201720_A1_235.gif

201720_A1_236.gif

Spikey Created with Wolfram Mathematica 8.0